There's sequences all over the place. What are they?
Does your sequence predict the 20th case?
And the 11th and 12th?
180 Days of Ideas for Discussion in Math Class. (as of 9July2014, we're in overtime!)
▼
Wednesday, December 31, 2014
Tuesday, December 30, 2014
358: Division and Remainders
Is that diagram correct?
What if the question were 13 ÷ 5 = 2 R3? Could we diagram it in the same way?
What if the question were 13 ÷ 5 = 2 R3? Could we diagram it in the same way?
Monday, December 29, 2014
357: Box Office Receipts for The Interview.
"Sony doesn't say" .... but do we have enough information to tell anyway?
‘The Interview’ Brings In $15 Million on Web
LOS ANGELES —
“The Interview” generated roughly $15 million in online sales and rentals during its first four days of availability, Sony Pictures said on Sunday.
Sony did not say how much of that total represented $6 digital rentals versus $15 sales. The studio said there were about two million transactions over all.
source. @ddmeyer
Sunday, December 28, 2014
356: Partridge in a Number Tree
You know the song. "And a Partridge in a Pear tree." What patterns of numbers can we find here?
If you look at the total gifts each day, what sequence of numbers is this?
How many different ways are there to find the total number of gifts given over the twelve days?
![]() |
| The first partridge. |
If you look at the total gifts each day, what sequence of numbers is this?
![]() |
| Four Calling Birds, calling out numbers ... |
Saturday, December 27, 2014
Friday, December 26, 2014
354: How to Teach Division
So, students. You've had a chance to weigh in on addition and multiplication.
What is the best way to do division?
What is the best way to do division?
Thursday, December 25, 2014
353: How to Teach Multiplication
There are several ways to teach multiplication. Many people seem to feel that students know best how they learn, so I'm asking students to weigh in on this particular issue.
Which method is best? Is there a difference between what we should be doing with elementary students and with high school students? With how much and with what do students need to graduate high school and enter the RealWorld?
Which method is best? Is there a difference between what we should be doing with elementary students and with high school students? With how much and with what do students need to graduate high school and enter the RealWorld?
| Hindu Lattice Method | Grid Method | |
|---|---|---|
Standard Algorithm | Japanese Sticks | |
Wednesday, December 24, 2014
352: How to Teach Addition
Everyone seems to have an opinion and now, students, we're asking for yours.
Scott Macleod says, "We now live within multidirectional conversation spaces in which 12-year-olds can reach audiences at scales that previously were reserved for major media companies, large corporations, and governments. We all now can have a voice. We all now can be publishers. We all now can find each other’s thoughts and ideas and can share, cooperate, collaborate, and take collective action."
So how should addition, and by extension subtraction, be taught?The standard algorithm or by piecewise addition?
Weigh in on the "Letter to Jack".
How would you teach these two problems?
Scott Macleod says, "We now live within multidirectional conversation spaces in which 12-year-olds can reach audiences at scales that previously were reserved for major media companies, large corporations, and governments. We all now can have a voice. We all now can be publishers. We all now can find each other’s thoughts and ideas and can share, cooperate, collaborate, and take collective action."
So how should addition, and by extension subtraction, be taught?The standard algorithm or by piecewise addition?
Weigh in on the "Letter to Jack".
How would you teach these two problems?
Tuesday, December 23, 2014
Monday, December 22, 2014
350: Primes
This little puzzle, via @mathmovesu, asks for three consecutive prime numbers.
Is the guess and check method the best way to go here?
Which prime numbers are candidates and which ones can we safely ignore?
Is the guess and check method the best way to go here?
Which prime numbers are candidates and which ones can we safely ignore?
Sunday, December 21, 2014
349: Hole-in-One Insurance
If the average golfer is able to get a hole-in-one once in approximately 3000 rounds of golf (18 holes apiece), then what is the probability of any one of 100 average golfers getting a hole-in-one on the 5th hole during the weekend golf tournament?
What's the best way to find this out if you're the insurance company that will write this policy?
What's the best way to find this out if you're the insurance company that will write this policy?
Saturday, December 20, 2014
348: Homer's Pythagorean proposition
$1782^{12}+1841^{12}=1922^{12}$
Wait, didn't Fermat say this was impossible?
What's a three-second way to tell that this equation is false?
Friday, December 19, 2014
347: Combinatorics
Consider eight objects. We will choose them one at a time, two at a time, three at a time, and so on.
Which of these will result in identical numbers of ways?
Why?
Which of these will result in identical numbers of ways?
Why?
Thursday, December 18, 2014
346: Casting the Play
The cast of a school play that requires 4 girls and 3 boys is to be selected from 7 eligible girls and 9 eligible boys.
- Will it be a different calculation if the boys are willing to play girls' parts, as in Shakespeare's time? If so, how will it be different?
Wednesday, December 17, 2014
345: Fair or Foul?
Sullivan bought a die at the magic shop. He
rolls it 155 times and gets the following results:
What is the probability he will get a 6 on the next roll?
- ONE: twenty-eight times
- TWO: twenty times
- THREE: fifteen times
- FOUR: thirty-one times
- FIVE: thirty-two times
- SIX: twenty-nine times.
What is the probability he will get a 6 on the next roll?
Tuesday, December 16, 2014
344: Monty Hall
Once upon a time, the world's smartest person (Marilyn vos Savant, IQ: 228) received a question for her newspaper column …
Marilyn's answer was surprising to many people. What do you think?
Suppose you're on a game show, and you're given the choice of three doors. Behind one door is a car, behind the others, goats. You pick a door, say number 1, and the host, who knows what's behind the doors, opens another door, say number 3, which has a goat. He says to you, "Do you want to pick door number 2?" Is it to your advantage to switch your choice of doors? Craig. F. Whitaker, Columbia, MD
Marilyn's answer was surprising to many people. What do you think?
Wednesday, December 10, 2014
343: Forces and Friction
Your teenage son has a fast car.
He knows that friction is determined by the weight of the car over the wheels, the "normal" force. He also knows that additional weight means that the car can't accelerate as fast, but he's also having problems with the rear tires spinning out. He's convinced that having Fat Eddie sit in the back will help his quarter-mile time.
Will the extra weight help him or hurt him?
He knows that friction is determined by the weight of the car over the wheels, the "normal" force. He also knows that additional weight means that the car can't accelerate as fast, but he's also having problems with the rear tires spinning out. He's convinced that having Fat Eddie sit in the back will help his quarter-mile time.
Will the extra weight help him or hurt him?
Tuesday, December 9, 2014
Monday, December 8, 2014
341: Sensible or Not? Study Types
Defend your answer! Here's your claim ... what's your warrant?
Give an example or a situation to bolster your position
Give an example or a situation to bolster your position
- The Department of Education conducted an observational study to determine the average salary of high school teachers in each of the United States
- A paint company conducted a double-blind experiment to determine which of two types of exterior paint was more resistant to rain.
- The lab conducted an experiment to determine whether the throat culture was positive for strep.
- In a study of medications designed to slow the rate of balding in men, a placebo group had better results than the control group.
- A meta-analysis was conducted to determine the population of New Zealand.
- A case-control experiment was used to determine the average family size in Utah.
340: Giving Raises
A small company wants to give raises to their 5 employees. They have $10,000 available to distribute. Imagine that you are in charge of deciding how the raises should be determined.
Use an atbash cipher decoder: http://rumkin.com/tools/cipher/atbash.php
- What are some variables you should consider?
- Describe mathematically as many different methods you can think of to distribute the raises. (We came up with nine; can you beat that?)
- What information will you need to compute those raises according to your various methods?
- Which of your methods do you feel is the most fair?
Use an atbash cipher decoder: http://rumkin.com/tools/cipher/atbash.php
- zm vjfzo znlfmg, gdl gslfhzmw vzxs.
- vjfzo kvixvmgztv yzhvw lm hzozib.
- mvklgrhn: 1p, 1p, 1p, 1p, Ldmvi'h hlm: 6p.
- R'n lmv lu gsv vnkolbvvh: 0p, 0p, 0p, 0p, nv: 10p
- kilwfxgrergb tlzoh: 1p, 1p, 2p, 2p, 4p
- olggvib, zoo li mlgsrmt.
- olggvib, 0p, 1p, 2p, 3p, 4p.
- zokszyvgrxzo liwvi, 0p, 1p, 2p, 3p, 4p.
- vnkolbvv'h xsrow'h gvhg hxlivh rm gsv olxzo hxsllo ... ru gsviv'h ml rnkilevnvmg, ml ylmfh.
Sunday, December 7, 2014
334: Which values of x do we choose? Absolutes
For the following functions, think about "How to graph like a math teacher."
Math teachers want to sketch graphs quickly and efficiently and choose
values of x that work "nicely" in the equation and generate integer
values of y, thus making it easier to graph.
What are your favorite examples of this?
- Which points are best found by inspection?
- Which points are best found by substitution?
- Which points are best found by symmetry?
$y = \lvert x \rvert$
$y = \lvert x \rvert - x$
$y = 2\lvert x+2 \rvert$
$y = \dfrac{1}{2}\lvert x-3 \rvert$
What are your favorite examples of this?
Saturday, December 6, 2014
333: Which values of x do we choose? Radicals
For the following functions, think about "How to graph like a math teacher."
Math teachers want to sketch graphs quickly and efficiently and choose
values of x that work "nicely" in the equation and generate integer
values of y, thus making it easier to graph.
What are your favorite examples of this?
- Which points are best found by inspection?
- Which points are best found by substitution?
- Which points are best found by symmetry?
$y = \sqrt{x+2}$
$y = \sqrt{1-x}$
$y = \sqrt[3]{2x+1}$
What are your favorite examples of this?
Friday, December 5, 2014
332: Which values of x do we choose? Rational functions
For the following functions, think about "How to graph like a math teacher."
Math teachers want to sketch graphs quickly and efficiently and choose
values of x that work "nicely" in the equation and generate integer
values of y, thus making it easier to graph.
$y=\dfrac{x^2-1}{x^2+1}$
What are your favorite examples of this?
- Which points are best found by inspection?
- Which points are best found by substitution?
- Which points are best found by symmetry?
$y = \dfrac{4}{(x+2)(x+11)}$
$y = \dfrac{1}{x^2+1}$
$y = \dfrac{1}{x^-1}$
$ y = \dfrac{x+2}{x^2-4}$
$y=\dfrac{x^2-1}{x^2+1}$
What are your favorite examples of this?
Thursday, December 4, 2014
331: Which values of x do we choose? Trigonometry.
For the following functions, think about "How to graph like a math teacher."
Math teachers want to sketch graphs quickly and efficiently and choose
values of x that work "nicely" in the equation and generate integer
values of y, thus making it easier to graph.
What are your favorite examples of this?
- Which points are best found by inspection?
- Which points are best found by substitution?
- Which points are best found by symmetry?
$y = sin(3\theta)$
$y = \Big{sin(\theta)}^2$
$y = sin^{-1}(\theta)$
$r = 3sin(3\theta)$
What are your favorite examples of this?
Wednesday, December 3, 2014
330: Which values of x do we choose? Linear Functions
For the following functions, think about "How to graph like a math teacher."
Math teachers want to sketch graphs quickly and efficiently and choose
values of x that work "nicely" in the equation and generate integer
values of y, thus making it easier to graph.
What are your favorite examples of this?
- Which points are best found by inspection?
- Which points are best found by substitution?
- Which points are best found by symmetry?
$y = \dfrac{1}{3}x + 7$
$y = \dfrac{2}{7}(x + 4)$
$y = \dfrac{x + 2}{5}$
What are your favorite examples of this?
Tuesday, December 2, 2014
329: Which values of x do we choose? Quadratics
For the following functions, think about "How to graph like a math teacher."
Math teachers want to sketch graphs quickly and efficiently and choose
values of x that work "nicely" in the equation and generate integer
values of y, thus making it easier to graph.
What are your favorite examples of this?
- Which points are best found by inspection?
- Which points are best found by substitution?
- Which points are best found by symmetry?
$y = (x+2)(x-4)$
$y = -(x+1)(x+5)$
$y = x^2 + 6x + 9$
$y = \dfrac{1}{4}(x+5)^2$
What are your favorite examples of this?
Monday, December 1, 2014
328: Which values of x do we choose? Conics
For the following functions, think about "How to graph like a math teacher." Math teachers want to sketch graphs quickly and efficiently and choose values of x that work "nicely" in the equation and generate integer values of y, thus making it easier to graph.
What are your favorite examples of this?
- Which points are best found by inspection?
- Which points are best found by substitution?
- Which points are best found by symmetry?
$x^2+y^2=25$
$\dfrac{(x-1)^2}{9}+\dfrac{(y+2)^2}{16} = 1$
$\dfrac{(x-4)^2}{9}-\dfrac{(y-4)^2}{16} = 1$
What are your favorite examples of this?
Sunday, November 30, 2014
327: Sensible or Not? Sampling
Defend your answer! Here's your claim ... what's your warrant?
Give an example or a situation to bolster your position.
Give an example or a situation to bolster your position.
- For a high school project, I conducted a census to determine the average rate that teenagers charge for babysitting.
- Even though the study used a convenience sample, the results may be meaningful.
- The study must have been biased, because it concluded that the 75% of Americans are more than 6 feet tall.
- We obtained a simple random sample of milk-producing cows in Jefferson County by drawing the names of 50 dairy farms from a hat and asking the owners of those farms to select three cows for us to study.
- A good strategy for stratified sampling involves first using simple random sampling to choose 500 people, then randomly dividing them into ten groups of 50 to represent the 10 strata.
- Although the study was conducted with a representative sample and careful analysis, the conclusions still reflect the researcher's anti-death penalty bias.
Saturday, November 29, 2014
Friday, November 28, 2014
325: ASN - Another Algebra Set
Always True, Sometimes True, Never True?
Once again ... The why is the important part.
source, with lesson plans and materials.
Once again ... The why is the important part.
source, with lesson plans and materials.
Thursday, November 27, 2014
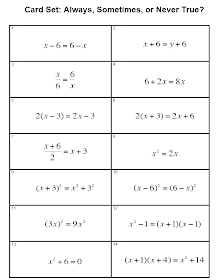
324: ASN - Algebra
Always True, Sometimes True, or Never True?
Cut out the cards and have students sort them into one of the three categories.
In each case, students need to say WHY its always true or NEVER true, or give an example and a counterexample for when it is SOMETIMES true.
source: lesson plan and handouts.
Cut out the cards and have students sort them into one of the three categories.
In each case, students need to say WHY its always true or NEVER true, or give an example and a counterexample for when it is SOMETIMES true.
source: lesson plan and handouts.
Wednesday, November 26, 2014
323: Sensible or Not? Study structure.
Defend your answer! Here's your claim ... what's your warrant?
Give an example or a situation to bolster your position.
Give an example or a situation to bolster your position.
- When the IRS decided to determine how many people were cheating on their taxes, they did a study in which the sample consisted of every adult in the United States.
- My professor conducted a study in which he was unable to measure any sample statistics, but he succeeded in determining the population parameters with a very small margin of error.
- A poll conducted two weeks before the election found that Smith would get 70% of the vote, with a margin of error of 3%, but he ended up losing anyway.
- The goal of a new startup company is to compete with Nielsen Media Research in compiling television ratings. They intend to succeed by providing data with a larger margin of error than Nielsen's while charging television stations the same price for their service.
- The goal of the research is to learn about depression among people who have suffered through a family tragedy, so the population of interest is everyone who has been sick in the past month.
- We know for certain that a majority of Americans support the President's position on this issue because an opinion poll found support from 65% of Americans, with a margin of error of 5%.
Tuesday, November 25, 2014
322: Sensible or Not? distribution
Distribution Statements: Sensible or Not?
Defend your answer! Here's your claim ... what's your warrant?
ch4.2
Defend your answer! Here's your claim ... what's your warrant?
- Because this data has two modes, it cannot be symmetrical.
- This distribution is left-skewed because it has outliers to the left.
- Josh works at a veterinary clinic and weighs the dogs. He claims there is less variation in the weights of 10 Rottweilers than in the weights of 10 dogs of different breeds.
- Josh combines the weights of 10 toy poodles, 10 Rottweilers and 10 St. Bernards into one big group. He says the distribution has one mode.
- Jean concludes that the mean of her symmetric distribution is greater than the median.
ch4.2
Monday, November 24, 2014
321: Sensible or Not? central measures
Measures of Central Tendency Statements: Sensible or Not?
Defend your answer! Here's your claim ... what's your warrant?
Give an example or a situation to bolster your position
ch4.1
Defend your answer! Here's your claim ... what's your warrant?
Give an example or a situation to bolster your position
- A data set should be discarded if the mean exceeds the mode.
- A student with an average of 65 computes her new average after earning a 70 on the last exam. Her new average is 72.
- Observing that the mean weight of a group of patients is 154 pounds and the median weight is 145 pounds, the doctor concludes that there must be an outlier on the heavy side.
- Noting that there are three modes in his data set, Rob assumes there was an error in his data gathering.
- The two means in the data lie at 102 and 201
- The two medians in the data set lie at 23 and 28.
- The two modes in the data set lie at 45 and 100.
ch4.1
Sunday, November 23, 2014
320: Sensible or Not? percent
Percent Statements: Sensible or Not?
Defend your answer! Here's your claim ... what's your warrant?
Defend your answer! Here's your claim ... what's your warrant?
- The percentage of households with more than four children decreased by 100,000 households
- Brent makes 120% less than Bill each month
- Ann is 10% taller than Brenda, so Brenda is 10% shorter than Ann
- Fifty percent of the people in the room are men and 50% of the people in the room are single. Therefore, 25% of the people in the room are single men.
- Pete’s prices are 10% more than Paul’s prices, so Pete’s prices are 110% of Paul’s prices.
- The interest rate at the bank increased by 100%
Saturday, November 22, 2014
319: Sensible or Not? error
Error Statements: Sensible or Not?
Defend your answer! Here's your claim ... what's your warrant?
ch2.2
Defend your answer! Here's your claim ... what's your warrant?
- There are 138,232 species of butterflies and moths on the Earth.
- The measurement taken by an electronic timer must be more accurate than that taken by stopwatch.
- The relative error that a microbiologist makes in measuring a cell must be less than the relative error that an astronomer makes in measuring the width of a galaxy, because cells are smaller than galaxies.
- The bank teller claims that his errors are random even though they are always to his advantage.
- The 6 billionth person on Earth was born on October 12th 1999, in Bosnia
- I would rather be shortchanged by $1 than by 1%
ch2.2
Friday, November 21, 2014
Thursday, November 20, 2014
Wednesday, November 19, 2014
Tuesday, November 18, 2014
Monday, November 17, 2014
314: Stats Starter 2
Following on from yesterday's question, we have a puzzle from the same source.
Which of those central tendency statistics are necessary in order to find the missing numbers? (Necessary meaning that you can't find a particular number without it.) In order words, do we really need all five statistics?
Source.
Which of those central tendency statistics are necessary in order to find the missing numbers? (Necessary meaning that you can't find a particular number without it.) In order words, do we really need all five statistics?
Source.
Sunday, November 16, 2014
313: Stats Starter 1c
Here is that same list of numbers.
You create a new problem this time ...
Can you create a solvable problem with just two hints?
Or do we need three?
Original source.
You create a new problem this time ...
Can you create a solvable problem with just two hints?
Or do we need three?
Original source.
Saturday, November 15, 2014
312: Stats Starter 1b
Here is a list of numbers.
You create the problem ...
What are some different statistics that you could give to a classmate (other than the ones below) yet still keep this a solvable problem, with the same answers as the original problem?
Original source.
Original problem:
mean = 76; range = 32; IQR = 21
You create the problem ...
What are some different statistics that you could give to a classmate (other than the ones below) yet still keep this a solvable problem, with the same answers as the original problem?
Original source.
Original problem:
mean = 76; range = 32; IQR = 21
Friday, November 14, 2014
311: Stats Starter 1a
Here is a list of numbers.
What information would you NEED in order to determine the missing numbers?
Source.
If you want to solve the original problem yourself, you can go there and look for the rest of the problem and a discussion on finding the answers, but here is the set of numbers provided:
mean = 76; range = 32; IQR = 21
What information would you NEED in order to determine the missing numbers?
Source.
If you want to solve the original problem yourself, you can go there and look for the rest of the problem and a discussion on finding the answers, but here is the set of numbers provided:
mean = 76; range = 32; IQR = 21
Thursday, November 13, 2014
310: Missing Area
What things do we know?
What lines do we need to construct?
What unknowns do we need to plop a variable on?
Is this a problem best given to a Geometry class, an Algebra class, or Pre-Calculus class?
Source, For the Nguyen!
What lines do we need to construct?
What unknowns do we need to plop a variable on?
Is this a problem best given to a Geometry class, an Algebra class, or Pre-Calculus class?
Source, For the Nguyen!
Wednesday, November 12, 2014
309: Rational Cube Routes
Actually, don't bother, I'll put one over there on the right side. ==>>
Now imagine if you were sitting on a vertex. How far is it (straight line distance) to the other vertices?
How many of those paths would be rational number distances?
What if you were on the midpoint of an edge and considering the paths to the vertices again. How many of those paths would have rational lengths distances?
And, no, I won't apologize for the pun. Pfft!
source:
Edge of a cube has length 2, P is the midpoint of an edge. Show that the greatest distance from P to a vertex is 3.
- David Marain (@dmarain) October 28, 2014
Tuesday, November 11, 2014
308: Congruent Lines?
Can two lines of infinite length be considered congruent?
Student question that sparked a good debate: are all lines congruent? Not segments, but whole lines. Thoughts?
— Justin (@JustinAion) October 20, 2014
Monday, November 10, 2014
Sunday, November 9, 2014
306: Factorials and Perfect Squares
Let's examine the function g(n):
How should we go about finding if there's a pattern in that?
g(n) = smallest integer such that g(n)*n! is a perfect square.
How should we go about finding if there's a pattern in that?
Plot of log(g(n)) versus n @jamestanton g(n) = smallest integer such that g(n)*n! is a perfect square. pic.twitter.com/tUvhiR0LjI
— Republic of Math (@republicofmath) October 18, 2014
Saturday, November 8, 2014
Friday, November 7, 2014
304: Speed Reading
Thursday, November 6, 2014
303: Reworking Pythagoras
Pythagorean
theorem:
a² + b²
= c².
“In a right triangle, the area of the square drawn on the hypotenuse is equal to the sum of the areas of the squares drawn on the other two legs.”
Here is the problem: does the figure whose areas we compare, drawn on the triangle's legs, have to be square?
Can there be other shapes – triangles, rhombuses, regular pentagons, etc. – that make the Pythagorean Theorem more generally true?
Source: Grant Wiggins, "The Problem of So-Called Problems - unpublished paper 2013"
“In a right triangle, the area of the square drawn on the hypotenuse is equal to the sum of the areas of the squares drawn on the other two legs.”
Here is the problem: does the figure whose areas we compare, drawn on the triangle's legs, have to be square?
Can there be other shapes – triangles, rhombuses, regular pentagons, etc. – that make the Pythagorean Theorem more generally true?
Source: Grant Wiggins, "The Problem of So-Called Problems - unpublished paper 2013"
Wednesday, November 5, 2014
332: Which values of x do we choose? Polynomials
For the following functions, think about "How to graph like a math teacher."
Math teachers want to sketch graphs quickly and efficiently and choose
values of x that work "nicely" in the equation and generate integer
values of y, thus making it easier to graph.
What are your favorite examples of this?
- Which points are best found by inspection?
- Which points are best found by substitution?
- Which points are best found by symmetry?
$y = (x-2)^2(x+2)$
$y = (x-1)^3$
$y = x^3-8$
$y=x^3+3x^2$
$y=(x-3)^2(x+3)^2$
$y=(x-3)^2(x+3)^2$
What are your favorite examples of this?
302: Systems of a Sort 8
Where should we start this shape substitution puzzle?
Source: Mimi! (I Hope This Old Train Breaks Down...)
Tuesday, November 4, 2014
Monday, November 3, 2014
300: Systems of a Sort 6
Your teacher (me) is thinking about buying a new car. Presently, the cost of gas is $3.60 per gallon and he knows that he is going to commute to work each day and drive errands on the weekend ... about 300 miles per week.
He wonders whether or not to buy a Corolla or a Prius. Currently, he drives a Ford Ranger pickup truck, which is paid off but is starting to have some expensive repair bills. If he averages those costs, it's about $200 per month.
Option 1: The Corolla costs $16,800 (about $400/month) and gets roughly 36 mpg.
Option 2: The Prius costs $24,200 (about $570/month) and gets roughly 49 mpg.
Option 3: The Ranger is paid off but has repairs (about $200/month) and gets 21 mpg.
What should he do?
Prius:
Corolla:
He wonders whether or not to buy a Corolla or a Prius. Currently, he drives a Ford Ranger pickup truck, which is paid off but is starting to have some expensive repair bills. If he averages those costs, it's about $200 per month.
Option 1: The Corolla costs $16,800 (about $400/month) and gets roughly 36 mpg.
Option 2: The Prius costs $24,200 (about $570/month) and gets roughly 49 mpg.
Option 3: The Ranger is paid off but has repairs (about $200/month) and gets 21 mpg.
What should he do?
Prius:
Corolla:
Sunday, November 2, 2014
299: Systems of a Sort 5
Is there an easy way to tell if those lines will have one solution, no solution, or an infinite number of solutions?
Saturday, November 1, 2014
298: Systems of a Sort 4
This system of equations has a peculiar characteristic ... I think it is easier to solve it by analytical means than by using Desmos or a TI-84.
Do you agree?
What about it makes a graphical solution difficult?























